Assessment of Prognostic Accuracy of Albumin-Bilirubin and Platelet-Albumin-Bilirubin Grades in Hepatocellular Carcinoma Patients According to Different Treatment Modalities: A Prospective Study

Document Type : Original Article

Authors

1 Department of Tropical Medicine and Gastroenterology, Sohag Faculty of Medicine, Sohag University, Sohag, Egypt

2 Department of General Surgery, Faculty of Medicine, Sohag University, Sohag, Egypt

3 Department of Clinical and Chemical Pathology, Sohag Faculty of Medicine, Sohag University, Sohag, Egypt

4 Department of Diagnostic and Interventional Radiology, Sohag Faculty of Medicine, Sohag University, Sohag, Egypt

5 Department of Internal Medicine, Sohag Faculty of Medicine, Sohag University, Sohag, Egypt

Abstract

Background:

The prognosis of hepatocellular carcinoma (HCC) is complex and depends on multiple factors, including hepatic reserve function. The albumin-bilirubin (ALBI) and platelet-albumin-bilirubin (PALBI) grades were developed to objectively evaluate liver function. We aimed to explore the ability of ALBI and PALBI grades to predict overall survival (OS) in patients with HCC based on the treatment modality and to determine factors associated with mortality.

Methods:

From January 2018 to December 2022, we prospectively enrolled 645 newly diagnosed HCC patients. Kaplan-Meier and Cox-regression analyses were used to assess OS. Receiver operating characteristics (ROC) curve analysis was used to analyze the efficacy of different grades in predicting mortality.

Results:

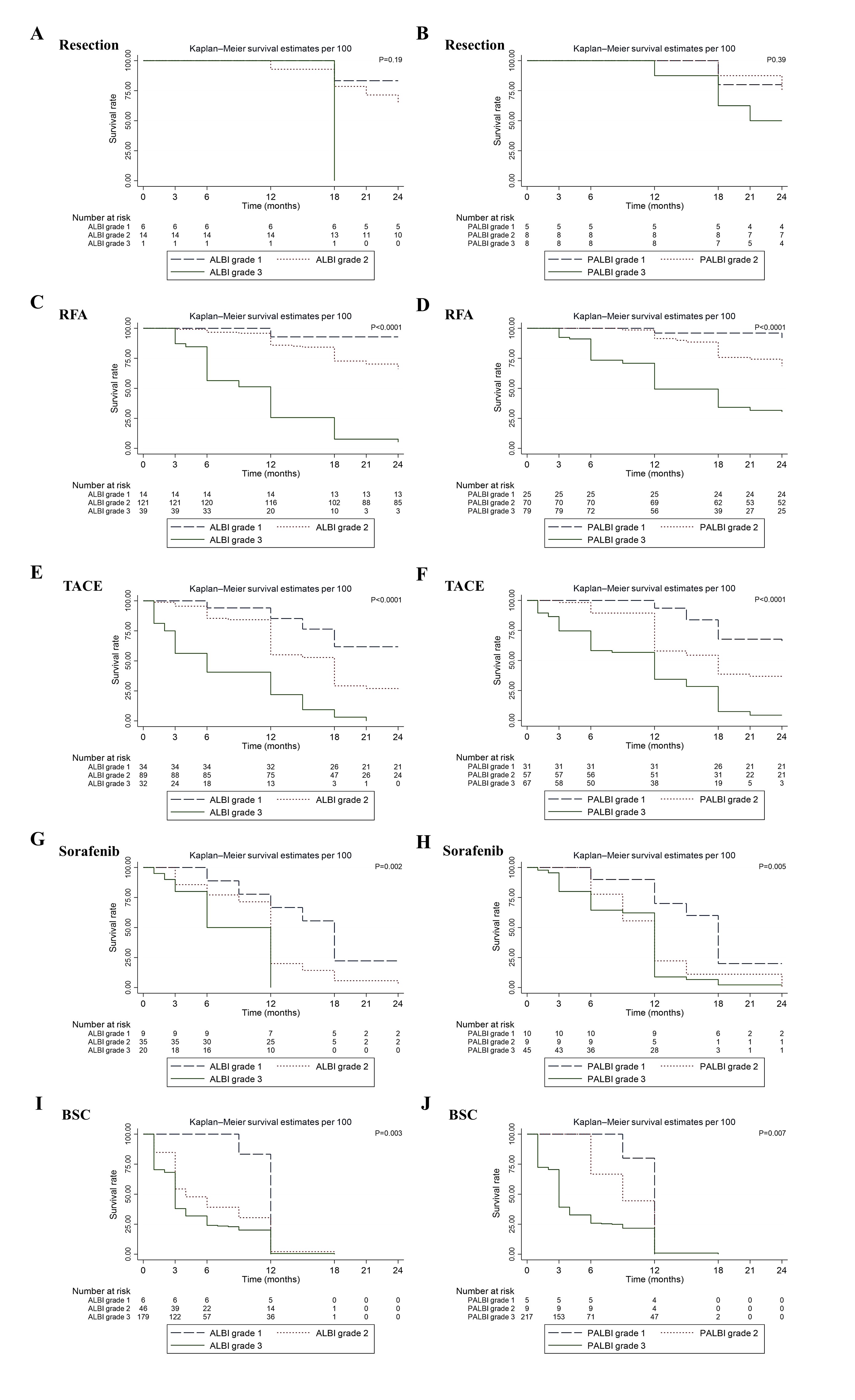
The median OS was 12 months during the follow-up time (range 1-24 months), and 75.81% of the study cohort died. Except for patients who underwent surgical resection, the ALBI and PALBI grades were significantly associated with OS in HCC patients, in various stages of BCLC, and treatment modalities (P<0.0001). In predicting OS, the PALBI score outperformed the ALBI, CTP, and MELD scores (P<0.0001). Furthermore, the PALBI grade outperformed the ALBI grade in stratifying CTP classes into distinct survival groups. Multiple tumours >3, MELD grade 3, PALBI grade 3, BCLC stages B, C, and D, and patients receiving supportive treatment were independently associated with OS.

Conclusions:

ALBI and PALBI grades are effective in the determination of OS among HCC patients in different clinical settings. The PALBI grade is an independent risk factor for mortality and is superior to the ALBI grade in predicting OS.

Keywords

Main Subjects